dati preliminari di uno studio fiorentino su 1400 intervistati
Il tema della sessualità si inserisce in quello, più ampio e complesso, del diritto alla salute. Riflettere sul concetto stesso di salute sessuale significa, tra le altre cose, analizzare le politiche di welfare nazionale.
In Italia non esiste una legislazione nazionale che garantisca o renda obbligatorio l’accesso all’educazione sessuale né esistono campagne debitamente organizzate al fine di indagare la salute sessuale nel nostro Paese, inoltre, molto spesso, in tema di sesso ed educazione sessuale, vengono utilizzate legislazioni extranazionali. Il diritto alla salute è indicato nella Costituzione italiana come «un bene da tutelare in quanto fondamentale diritto dell’individuo ed interesse della collettività», e di diritto alla salute si parla anche nella “Dichiarazione dei diritti universali dell’Uomo” del 1948. In entrambi i documenti si fa riferimento a una dimensione sia biologica che sociale: questa doppia valenza guida l’analisi dei percorsi volti alla promozione della salute sessuale su scala nazionale.
La dichiarazione del 2008 dell’Organizzazione Mondiale della Sanità dei cosiddetti “diritti umani sessuali”, ovvero una lista di principi volti a promuovere il raggiungimento di un benessere sessuale, riproduttivo e relazionale basato sul diritto internazionale, costituisce un ulteriore spunto di riflessione. Non si fa tuttavia riferimento alle responsabilità istituzionali rispetto al dover creare percorsi socio-sanitari ed educativi. Nel campo dell’educazione alla sessualità si realizza un conflitto tra punti di vista e forze differenti poiché gli attori coinvolti hanno spesso obiettivi e percezioni diversificate; inoltre l’educazione sessuale non può fermarsi in età adolescenziale ma dovrebbe continuare anche in altre età, diversificando temi e traguardi (Nicoletta Landi “Educating sexuality: teenagers and pleasure in a training program between school and health services”).
Sicuramente la circolazione di informazioni e strumenti, e la condivisione di questi ultimi, possono essere alla base di una strategia educativa basata sulla parola, laddove il silenzio, l’assenza e la frammentazione degli interventi sembrano essere la scelta dominante, almeno sul territorio italiano. La salute sessuale va al di là dell’assenza di malattia. Il piacere e la soddisfazione sessuale sono parte integrante del nostro benessere e richiedono universale riconoscimento e promozione.
È essenziale che i programmi internazionali, regionali, nazionali e locali di sviluppo sostenibile diano priorità a interventi sulla salute sessuale, assegnando loro risorse sufficienti, combattendo barriere ed ostacoli monitorando i progressi ottenuti.
La WAS (World Association for Sexual Health) sollecita tutti a:
- Riconoscere, promuovere, assicurare e proteggere i diritti sessuali per tutti. I diritti sessuali sono parte essenziale dei diritti umani fondamentali e pertanto sono inalienabili e universali. La salute sessuale è una componente essenziale del diritto al godimento dei più elevati standard di salute. La salute sessuale non può essere ottenuta o mantenuta senza diritti sessuali per tutti.
- Sostenere l’avanzamento verso una parità ed equità di genere.
- Condannare, combattere e ridurre ogni forma di violenza sessuale.
- Assicurare l’accesso universale ad una informazione ed educazione sessuale. Per raggiungere la salute sessuale tutti, inclusi i giovani, devono avere accesso a un’educazione sessuale estensiva, a informazioni e servizi sulla salute sessuale, nel corso della vita.
- Garantire che i programmi di salute riproduttiva riconoscano la centralità della salute sessuale.
- Arrestare ed invertire la diffusione dell’HIV/ AIDS ed altre malattie sessualmente trasmesse (MST). L’accesso universale ad una prevenzione efficace, counseling e test volontari, cura e trattamento di HIV/AIDS e altre MST, è condizione essenziale per la salute sessuale. Questo accesso deve essere assicurato da subito con programmi adeguati.
- Identificare, affrontare e trattare i problemi, le disfunzioni e i disordini sessuali.
- Riconoscere il piacere sessuale come componente del benessere. Il desiderio sessuale e l’orgasmo rappresentano due aspetti fondamentali e profondamenti interconnessi tra loro al fine di raggiungere la soddisfazione sessuale.
Il gruppo di ricerca formato dai dr. Cocci e Milanesi, e coordinato e supervisionato dal
dr. Gacci, si è concentrato sulla sessualità degli studenti di medicina dell’Università di Firenze. La scelta di analizzare questo particolare campione di persone deriva dal fatto che essi rappresentano mediamente un substrato sociale particolare. Gli studenti godono generalmente di buona salute, hanno un livello culturale sopra la media per età, e il loro percorso scolastico li ha portati sicuramente a contatto con nozioni di educazione sessuale. Inoltre, il percorso di studi in medicina, per la sua particolare complessità e durata, sottopone gli studenti ad un quantitativo di stress molto elevato. Per quanto non sia l’obiettivo di questo studio quantificare lo stress a cui lo studente di medicina medio è sottoposto, possiamo ipotizzare che il carico di lavoro e lo stile di vita a cui viene sottoposto lo studente di medicina, possa influire anche sulla qualità e sul modo di vivere la propria sessualità; proprio per questo abbiamo deciso di valutare il benessere sessuale di questo particolare gruppo.
Un gruppo di 1400 studenti di medicina fiorentini ha ricevuto via mail un questionario che comprendeva una serie di domande riguardanti lo stile di vita (consumo di alcol, caffe, fumo, qualità del sonno, BMI, ecc) e una serie di questionari validati, atti ad analizzare il proprio rapporto con la sessualità, tra questi questionari: ISS (Index of sexual satisfaction),

IIEF-15 (International InE Toscana Medica 5|2016 dex of Erectile Function) e FSFI (Fermale Sexual Function Index).
Ad ogni studente è stato chiesto di compilare non solo i questionari relativi alla propria attività sessuale, ma anche i questionari relativi all’altro sesso, chiedendo espressamente di completarli pensando a come il/la loro partner avrebbe riempito i questionari.
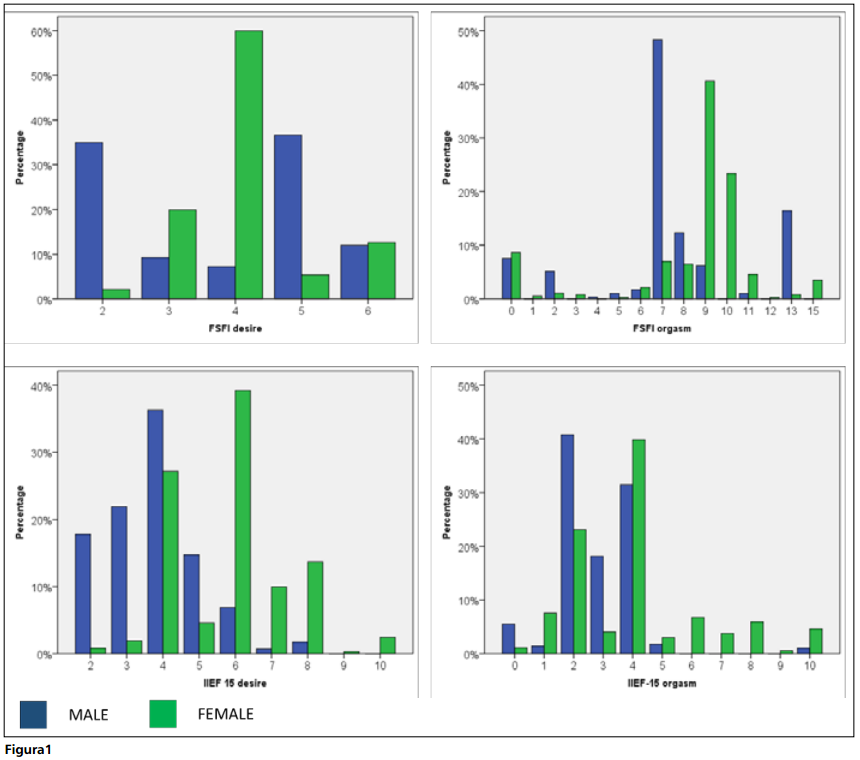
664 studenti hanno completato il questionario, un dato che già da solo fa riflettere sull’interesse suscitato da questo tema nelle giovani generazioni, di questi 372 erano donne e 292 uomini. Le donne hanno presentato un’ISS score più alto rispetto agli uomini (37,9 vs 30,3 p<0,01). Abbiamo riscontrato una differenza tra uomini e donne analizzando il “desiderio” e l’orgasmo tramite FSFI e IIEF-15 (vedi Figura 1). Abbiamo inoltre verificato una diretta correlazione tra il BMI e l’abbassamento della soddisfazione sessuale nelle donne (r: 0.141 p=0,046) e una diretta correlazione in negativo tra l’orgasmo maschile e il BMI (r: -0,089, p<0,01).
Il consumo di alcol ha un impatto negativo sia sugli uomini che sulle donne in termini di desiderio e orgasmo (r: -0,259, p<0,01 e
r:-0,0196, p=0,004 rispettivamente). Questi dati preliminari suggeriscono che le donne hanno una soddisfazione sessuale inferiore rispetto agli uomini ma che in senso assoluto la loro “vita sessuale” è sovrapponibile a quella degli uomini. Tuttavia, le donne percepiscono il loro desiderio sessuale e il loro di orgasmo in maniera più alta rispetto a quello che gli uomini pensano, viceversa gli uomini percepiscono il loro desiderio di sessualità e orgasmo in maniera inferiore rispetto a quello che credono le rispettive partner.
Con questo studio vogliamo porre l’attenzione sul piacere sessuale come aspetto basilare della sessualità umana, talvolta ignorato o stigmatizzato nella politica e nei programmi di promozione della salute. Il piacere è, probabilmente, il più potente fattore motivante per il comportamento sessuale. Ignorare questo ruolo nel contribuire alla realizzazione della salute e della felicità umana è un grave errore. Lo studio da noi proposto è a tutt’oggi in fase preliminare di analisi e stressiamo sulla necessità di studi di questo tipo, divisi per età, classe sociale e zona geografica. I giovani, in questo caso la popolazione tra i 19 e i 26 anni, sono un gruppo di attori molto importanti sulla scena dell’educazione alla sessualità in quanto in piena attività sessuale. Un’educazione sessuale adeguata deve essere pensata e promossa come spazio aperto di circolazione di competenze e strumenti, messi in rete e condivisi.
Conclusioni
I dati preliminari del nostro studio dimostrano come vi sia grande interesse nei giovani studenti sul tema della sessualità: queste
survey sono necessarie in diverse popolazioni, al fine di ottenere dati confrontabili per età, livello socioeconomico e stili di vita. Dieta e stili di vita, possono avere un significativo impatto sulla sessualità sia maschile che femminile. Un punto molto interessante dello studio riguarda la percezione della sessualità nell’altro sesso: sia per i maschi che per le femmine abbiamo riscontrato una differenza tra il dato “reale” riferito dai soggetti ed il dato “percepito” dei soggetti dell’altro sesso sia per quanto riguarda il desiderio sessuale che l’orgasmo del partner. L’analisi completa dei dati permetterà di ottenere informazioni più accurate.
Info: cocci.andrea@gmail.com


